Contents
【問題】
【難易度】★★★★☆(やや難しい)
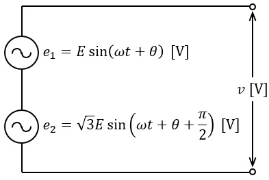
図のように,二つの正弦波交流電圧源\( \ e_{1} \ \mathrm {[V]} \ \),\( \ e_{2} \ \mathrm {[V]} \ \)が直列に接続されている回路において,合成電圧\( \ v \ \mathrm {[V]} \ \)の最大値は\( \ e_{1} \ \)の最大値の\( \ \fbox { (ア) } \ \)倍となり,その位相は\( \ e_{1} \ \)を基準として\( \ \fbox { (イ) } \ \mathrm {[rad]} \ \)の\( \ \fbox { (ウ) } \ \)となる。
上記の記述中の空白箇所(ア),(イ)及び(ウ)に当てはまる語句,式又は数値として,正しいものを組み合わせたのは次のうちどれか。
\[
\begin{array}{cccc}
& (ア) & (イ) & (ウ) \\
\hline
(1) & \displaystyle \frac {1}{2} & \displaystyle \frac {\pi }{3} & 進 み \\
\hline
(2) & 1+\sqrt {3} & \displaystyle \frac {\pi }{6} & 遅 れ \\
\hline
(3) & 2 & \displaystyle \frac {2\pi }{3} & 進 み \\
\hline
(4) & \sqrt {3} & \displaystyle \frac {\pi }{6} & 遅 れ \\
\hline
(5) & 2 & \displaystyle \frac {\pi }{3} & 進 み \\
\hline
\end{array}
\]
【ワンポイント解説】
位相と波高値が異なる交流電源の直列接続に関する問題です。
ベクトル図を描ければ難解ではありませんが,解法に気付けるかどうかが最大のポイントとなります。
1.電圧・電流の瞬時値
電圧及び電流の実効値が\( \ V \ \mathrm {[V]} \ \)及び\( \ I \ \mathrm {[A]} \ \),角周波数が\( \ \omega \ \mathrm {[rad / s]} \ \),電圧及び電流の初期位相が\( \ \theta \ \mathrm {[rad]} \ \)及び\( \ \phi \ \mathrm {[rad]} \ \)の正弦波交流があるとき,それぞれの瞬時値は,
\[
\begin{eqnarray}
v &=& \sqrt {2}V \sin \left( \omega t +\theta \right) \\[ 5pt ]
i &=& \sqrt {2}I \sin \left( \omega t +\phi \right) \\[ 5pt ]
\end{eqnarray}
\]
となり,極座標平面では図1のように表されます。
【解答】
解答:(5)
\( \ e_{1} \ \mathrm {[V]} \ \)を基準として,\( \ e_{2} \ \mathrm {[V]} \ \)及び合成電圧\( \ v \ \mathrm {[V]} \ \)を描くと図2のようになる。
(ア)
図2より,\( \ \dot {e}_{2} \ \mathrm {[V]} \ \)の大きさは\( \ \dot {e}_{1} \ \mathrm {[V]} \ \)の\( \ \sqrt {3} \ \)倍なので,\( \ \dot v \ \mathrm {[V]} \ \)の大きさは\( \ 2 \ \)倍となり,波高値(最大値)も\( \ 2 \ \)倍となる。
(イ)
図2より,\( \ \dot v \ \mathrm {[V]} \ \)の位相は\( \ \displaystyle \frac {\pi }{3} \ \mathrm {[rad]} \ \)となる。
(ウ)
図2より,\( \ \dot v \ \mathrm {[V]} \ \)は\( \ \dot {e}_{1} \ \mathrm {[V]} \ \)より進み位相となる。














愛知県出身 愛称たけちゃん
詳しくは