Contents
【問題】
【難易度】★★☆☆☆(やや易しい)
図のブロック線図で示す制御系において,\( \ R( \mathrm {j}\omega ) \ \)と\( \ C( \mathrm {j}\omega ) \ \)間の合成周波数伝達関数\( \ \displaystyle \frac {C( \mathrm {j}\omega ) }{ R( \mathrm {j}\omega ) } \ \)を示す式として,最も近いものを次の(1)~(5)のうちから一つ選べ。
(1) \( \ \displaystyle \frac {G_{1}G_{3}}{1+G_{1}G_{2}G_{3}} \ \) (2) \( \ \displaystyle \frac {G_{1}G_{2}}{1+G_{1}G_{2}G_{3}} \ \) (3) \( \ \displaystyle \frac {G_{1}-G_{2}}{1+G_{1}G_{3}-G_{2}G_{3}} \ \)
(4) \( \ \displaystyle \frac {G_{1}+G_{2}+G_{1}G_{2}}{1+G_{2}+G_{1}G_{2}G_{3}} \ \) (5) \( \ \displaystyle \frac {G_{1}}{1+G_{1}G_{2}+G_{1}G_{3}} \ \)
【ワンポイント解説】
ブロック線図から合成周波数伝達関数を導出する問題です。
ブロック線図からの伝達関数導出は自動制御の基礎であり,出題頻度も高く理解すると確実に得点源となる分野なので,ここでしっかりと理解するようにして下さい。
本問はやや古いですが平成8年問9からの再出題となります。
1.ブロック線図の考え方
①直列
図1のような伝達関数\( \ G_{1}(s) \ \),\( \ G_{2}(s) \ \)が与えられているとき,全体の伝達関数\( \ G(s) \ \)は,
\[
\begin{eqnarray}
G(s)&=&\frac {Y(s)}{X(s)}=G_{1}(s)G_{2}(s) \\[ 5pt ]
\end{eqnarray}
\]
となります。
②並列
図2のような伝達関数\( \ G_{1}(s) \ \),\( \ G_{2}(s) \ \)が与えられているとき,全体の伝達関数\( \ G(s) \ \)は,
\[
\begin{eqnarray}
G(s)&=&\frac {Y(s)}{X(s)}=G_{1}(s)±G_{2}(s) \\[ 5pt ]
\end{eqnarray}
\]
となります。
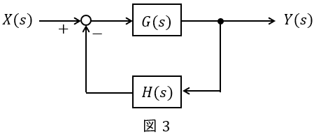
③フィードバック
図3のような\( \ G(s) \ \),\( \ H(s) \ \)が与えられているとき,全体の伝達関数\( \ W(s) \ \)は,
\[
\begin{eqnarray}
Y(s)&=&\left\{ X(s) -H(s)Y(s) \right\} G(s) \\[ 5pt ]
Y(s)&=&G(s)X(s) -G(s)H(s)Y(s) \\[ 5pt ]
Y(s)+G(s)H(s)Y(s) &=&G(s)X(s) \\[ 5pt ]
\left\{ 1+G(s)H(s)\right\} Y(s) &=&G(s)X(s) \\[ 5pt ]
\frac {Y(s)}{X(s)}&=&\frac {G(s)}{1+G(s)H(s)} \\[ 5pt ]
W(s)&=&\frac {G(s)}{1+G(s)H(s)} \\[ 5pt ]
\end{eqnarray}
\]
となります。
【解答】
解答:(3)
\( \ G_{1} \ \)と\( \ G_{2} \ \)の合成伝達関数は,ワンポイント解説「1.ブロック線図の考え方」の通り\( \ G_{1}-G_{2} \ \)なので,問題のブロック線図を書き換えると図4のようになる。
図4における\( \ G_{1}-G_{2} \ \)と\( \ G_{3} \ \)の合成伝達関数が求める伝達関数\( \ \displaystyle \frac {C( \mathrm {j}\omega ) }{ R( \mathrm {j}\omega ) } \ \)であるから,図3と同様に考えると,
\[
\begin{eqnarray}
\frac {C( \mathrm {j}\omega ) }{ R( \mathrm {j}\omega ) }&=&\frac {G_{1}-G_{2}}{1+\left( G_{1}-G_{2}\right) G_{3} } \\[ 5pt ]
&=&\frac {G_{1}-G_{2}}{1+G_{1}G_{3}-G_{2}G_{3} } \\[ 5pt ]
\end{eqnarray}
\]
と求められる。
[別解]
\( \ C( \mathrm {j}\omega ) \ \)を起点として,各部の信号を考えると図5のようになる。したがって,
\[
\begin{eqnarray}
G_{1}\left\{ R( \mathrm {j}\omega ) -G_{3}C( \mathrm {j}\omega ) \right\} -G_{2}\left\{ R( \mathrm {j}\omega ) -G_{3}C( \mathrm {j}\omega ) \right\} &=&C( \mathrm {j}\omega ) \\[ 5pt ]
\end{eqnarray}
\]
の関係があるので,これを整理すると,
\[
\begin{eqnarray}
G_{1}R( \mathrm {j}\omega ) -G_{1}G_{3}C( \mathrm {j}\omega ) -G_{2}R( \mathrm {j}\omega ) +G_{2}G_{3}C( \mathrm {j}\omega ) &=&C( \mathrm {j}\omega ) \\[ 5pt ]
G_{1}R( \mathrm {j}\omega ) -G_{2}R( \mathrm {j}\omega ) &=&C( \mathrm {j}\omega ) +G_{1}G_{3}C( \mathrm {j}\omega ) -G_{2}G_{3}C( \mathrm {j}\omega ) \\[ 5pt ]
\left( G_{1}-G_{2}\right) R( \mathrm {j}\omega ) &=&\left( 1+G_{1}G_{3}-G_{2}G_{3}\right) C( \mathrm {j}\omega ) \\[ 5pt ]
\frac {C( \mathrm {j}\omega ) }{ R( \mathrm {j}\omega ) }&=&\frac {G_{1}-G_{2}}{1+G_{1}G_{3}-G_{2}G_{3} } \\[ 5pt ]
\end{eqnarray}
\]
と求められる。















愛知県出身 愛称たけちゃん
詳しくは